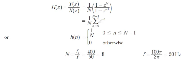
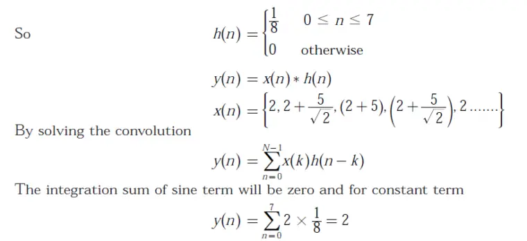
Q. 44 An input signalth is sampled with a sampling frequency of 400 Hz and applied to the system whose transfer function is represented by
where, N represents the number of samples per cycle. The output y (n ) of the
system under steady state is
(A) 0
(B) 1
(C) 2
(D) 5
Answer:(C)
Explanation:















