Gate EE-2014-2 Question Paper With Solutions

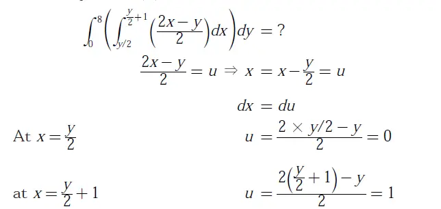
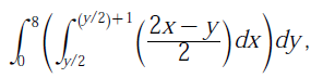
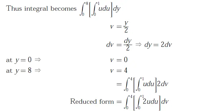
Q. 36 To evaluate the double integral Gate EE-2014-2 Question Paper With Solutionswe make the

substitution

Gate EE-2014-2 Question Paper With Solutions
Gate EE-2014-2 Question Paper With Solutions

Answer:(B)

Explanation:

Gate EE-2014-2 Question Paper With Solutions Gate EE-2014-2 Question Paper With Solutions

Learn More:   Gate CS-2006 Question Paper With Solutions

LEAVE A REPLY

Please enter your comment!
Please enter your name here