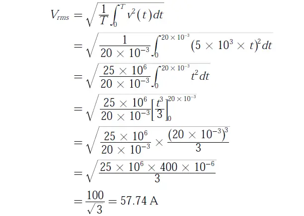
Q. 29 The saw-tooth voltage waveform shown in the figure is fed to a moving iron
voltmeter. Its reading would be close to __________
Answer:(57.74)
Explanation:

Q. 29 The saw-tooth voltage waveform shown in the figure is fed to a moving iron
voltmeter. Its reading would be close to __________
Answer:(57.74)
Explanation:
