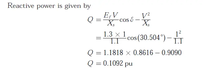
Q. 50 A synchronous generator is connected to an infinite bus with excitation voltage
. The generator has a synchronous reactance of 1.1 pu and is delivering
real power (P) of 0.6 pu to the bus. Assume the infinite bus voltage to be 1.0 pu.
Neglect stator resistance. The reactive power (Q) in pu supplied by the generator
to the bus under this condition is _____.
Answer:(0.1092)
Explanation:













