Gate EC-2008 Question Paper With Solutions

Q. 85 Gate EC-2008 Question Paper With Solutions

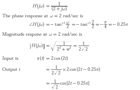
The output of this system, to the sinusoidal input x(t) = 2 cos 2t for all time t , is

Gate EC-2008 Question Paper With Solutions

Answer: D

Explanation:
Gate EC-2008 Question Paper With Solutions

Learn More:   Gate EC-2016 - 3 Question Paper With Solutions

LEAVE A REPLY

Please enter your comment!
Please enter your name here