Gate EC-2008 Question Paper With Solutions

Q. 76 Gate EC-2008 Question Paper With Solutions

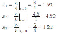
The z -parameter matrix for this network is
Gate EC-2008 Question Paper With Solutions
Answer: C

Explanation:

Gate EC-2008 Question Paper With SolutionsGate EC-2008 Question Paper With Solutions Gate EC-2008 Question Paper With Solutions

Learn More:   Gate EC-2014 - 2 Question Paper With Solutions

LEAVE A REPLY

Please enter your comment!
Please enter your name here