Gate EC-2008 Question Paper With Solutions

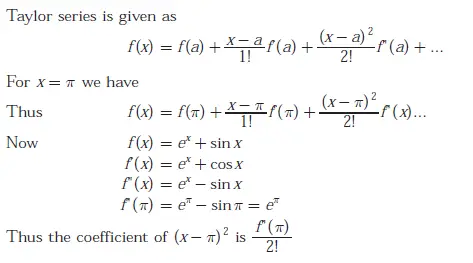
Q. 28 In the Taylor series expansion of exp(x) + sin(x) about the pointGate EC-2008 Question Paper With Solutions the coefficient of Gate EC-2008 Question Paper With Solutions is
Gate EC-2008 Question Paper With Solutions

Answer: B

Explanation:

Gate EC-2008 Question Paper With Solutions

Learn More:   Gate ME-2016-3 Question Paper With Solutions

LEAVE A REPLY

Please enter your comment!
Please enter your name here