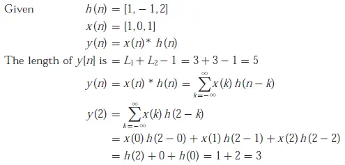
Q. 33 A discrete time linear shift – invariant system has an impulse response h[n] with h[0] = 1,h[1] =- 1,h[2] = 2, and zero otherwise The system is given an input sequence x[n] with x[0] = x[2] = 1, and zero otherwise. The number of nonzero samples in the output sequence y[n], and the value of y[2] are respectively
(A) 5, 2
(B) 6, 2
(C) 6, 1
(D) 5, 3
Answer: D
Explanation:
.












