Gate EC-2008 Question Paper With Solutions

Q. 84 Gate EC-2008 Question Paper With Solutions

The frequency response Gate EC-2008 Question Paper With Solutions of this system in terms of angular frequencyGate EC-2008 Question Paper With Solutions, is given byGate EC-2008 Question Paper With Solutions
Gate EC-2008 Question Paper With Solutions
Answer: C

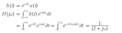
Explanation:
Gate EC-2008 Question Paper With Solutions

Learn More:   Gate EE-2017-1 Question Paper With Solutions

LEAVE A REPLY

Please enter your comment!
Please enter your name here