Gate EC-2008 Question Paper With Solutions

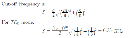
Q. 61 A rectangular waveguide of internal dimensions (a = 4 cm and b = 3 cm) is to be operated in Gate EC-2008 Question Paper With Solutions mode. The minimum operating frequency is

(A) 6.25 GHz

(B) 6.0 GHz

(C) 5.0 GHz

(D) 3.75 GHz

Answer: A

Explanation:

Gate EC-2008 Question Paper With Solutions

Learn More:   Gate EC-2016 - 3 Question Paper With Solutions

LEAVE A REPLY

Please enter your comment!
Please enter your name here