Gate EC-2008 Question Paper With Solutions

Q. 82 Gate EC-2008 Question Paper With Solutions

Gate EC-2008 Question Paper With Solutions

The stable reading of the LED displays is

(A) 06

(B) 07

(C) 12

(D) 13

Answer: D

Explanation:
Gate EC-2008 Question Paper With Solutions
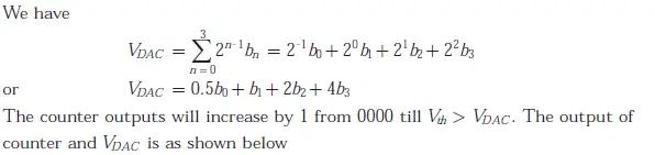
Gate EC-2008 Question Paper With Solutions
Gate EC-2008 Question Paper With Solutions

Learn More:   Gate CS-2017-1 Question Paper With Solutions

LEAVE A REPLY

Please enter your comment!
Please enter your name here