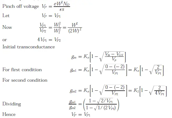
Q. 52 The cross section of a JFET is shown in the following figure. Let be -2 V and let
be the initial pinch -off voltage. If the width W is doubled (with other geometrical parameters and doping levels remaining the same), then the ratio between the mutual trans conductances of the initial and the modified JFET is
Answer: C
Explanation:














