Gate EC-2008 Question Paper With Solutions

Q. 75 Gate EC-2008 Question Paper With Solutions

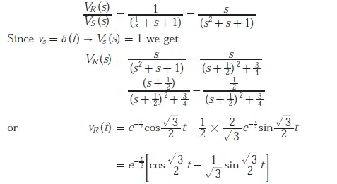
For t > 0, the voltage across the resistor is
Gate EC-2008 Question Paper With Solutions

Gate EC-2008 Question Paper With Solutions

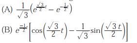
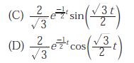
Answer: B

Explanation:
Gate EC-2008 Question Paper With Solutions
Gate EC-2008 Question Paper With Solutions

Learn More:   Gate ME-2020-2 Question Paper With Solutions

LEAVE A REPLY

Please enter your comment!
Please enter your name here