Q. 32 The signal x(t) is described by
Two of the angular frequencies at which its Fourier transform becomes zero are
Answer: A
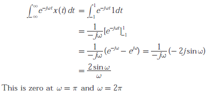
Explanation:

Q. 32 The signal x(t) is described by
Two of the angular frequencies at which its Fourier transform becomes zero are
Answer: A
Explanation:
