Gate EC-2008 Question Paper With Solutions

Q. 26 The residue of the function Gate EC-2008 Question Paper With Solutions
Gate EC-2008 Question Paper With Solutions

Answer: A

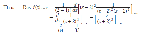
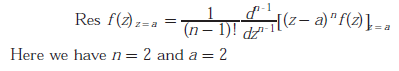
Explanation:
Gate EC-2008 Question Paper With Solutions Gate EC-2008 Question Paper With Solutions

Learn More:   Gate EC-2016 - 3 Question Paper With Solutions

LEAVE A REPLY

Please enter your comment!
Please enter your name here