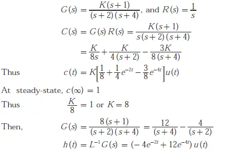
Q. 31 A linear, time – invariant, causal continuous time system has a rational transfer function with simple poles at s =- 2 and s =- 4 and one simple zero at s =- 1. A unit step u(t) is applied at the input of the system. At steady state, the output has constant value of 1. The impulse response of this system is
(A) [exp(- 2t) + exp(- 4t)]u(t)
(B) [- 4 exp(- 2t) – 12 exp(- 4t) – exp(- t)]u(t)
(C) [- 4 exp(- 2t) + 12 exp(- 4t)]u(t)
(D) [- 0.5 exp(- 2t) + 1.5 exp(- 4t)]u(t)
Answer: C
Explanation:












