Gate EE-2010 Question Paper With Solutions

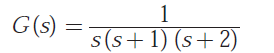
Q. 36 The frequency response of

Gate EE-2010 Question Paper With Solutions
Gate EE-2010 Question Paper With Solutions

Gate EE-2010 Question Paper With Solutions

Answer:(A)

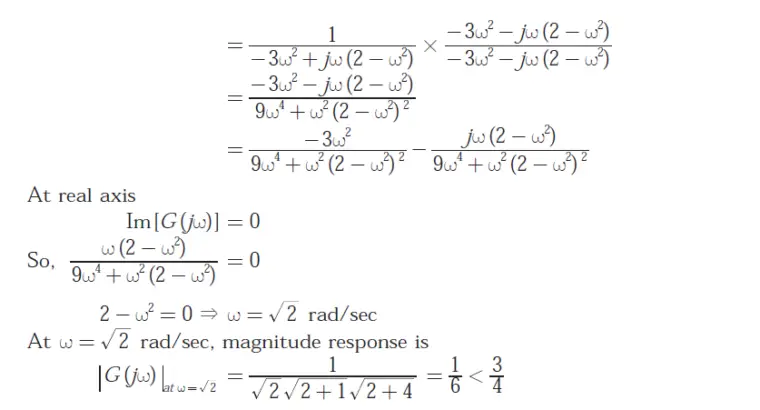
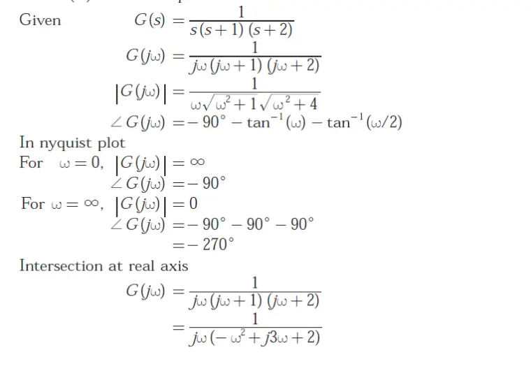
Explanation:

Gate EE-2010 Question Paper With SolutionsGate EE-2010 Question Paper With Solutions

Learn More:   Gate ME-2020-1 Question Paper With Solutions

LEAVE A REPLY

Please enter your comment!
Please enter your name here