Gate EE-2010 Question Paper With Solutions

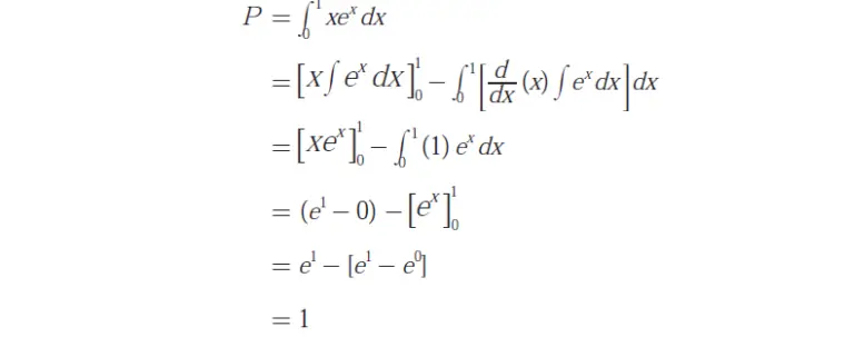
Q. 1 The value of the quantity P, where Gate EE-2010 Question Paper With Solutions is equal to

(A) 0

(B) 1

(C) e

(D) 1/e

Answer:(B)

Explanation:

Gate EE-2010 Question Paper With Solutions

Learn More:   Gate EE-2019 Question Paper With Solutions

LEAVE A REPLY

Please enter your comment!
Please enter your name here