Gate EE-2010 Question Paper With Solutions

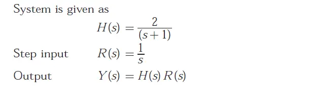
Q. 11 For the system 2/(s + 1), the approximate time taken for a step response to reach
98% of the final value is

(A) 1 s

(B) 2 s

(C) 4 s

(D) 8 s

Answer:(C)

Explanation:

Gate EE-2010 Question Paper With SolutionsGate EE-2010 Question Paper With Solutions

Learn More:   Gate ME-2019-1 Question Paper With Solutions

LEAVE A REPLY

Please enter your comment!
Please enter your name here