Q. 32 Given the finite length input x[n] and the corresponding finite length output y[n]
of an LTI system as shown below, the impulse response h[n] of the system is
Answer:(C)
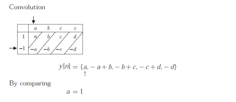
Explanation:

Q. 32 Given the finite length input x[n] and the corresponding finite length output y[n]
of an LTI system as shown below, the impulse response h[n] of the system is
Answer:(C)
Explanation:
