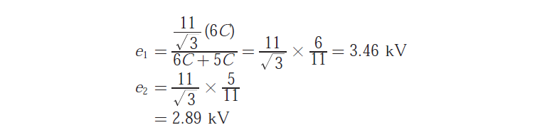
Q. 42 Consider a three-phase, 50 Hz, 11 kV distribution system. Each of the conductors
is suspended by an insulator string having two identical porcelain insulators. The
self capacitance of the insulator is 5 times the shunt capacitance between the link
and the ground, as shown in the figures. The voltages across the two insulators
are
Answer:(B)
Explanation:















