Gate EE-2010 Question Paper With Solutions

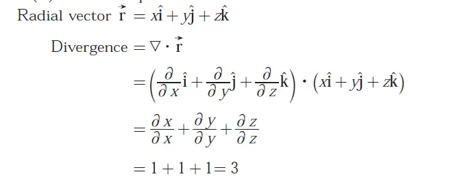
Q. 2 Divergence of the three-dimensional radial vector field Gate EE-2010 Question Paper With Solutions is

(A) 

(B) 1/r

(C) Gate EE-2010 Question Paper With Solutions

(D) Gate EE-2010 Question Paper With Solutions

Answer:(A)

Explanation:

Gate EE-2010 Question Paper With Solutions

Learn More:   Gate EE-2016-1 Question Paper With Solutions

LEAVE A REPLY

Please enter your comment!
Please enter your name here