Gate EE-2010 Question Paper With Solutions

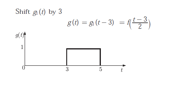
Q. 50 g(t) can be expressed as

Gate EE-2010 Question Paper With Solutions

Gate EE-2010 Question Paper With Solutions

Answer:(D)

Explanation:

Gate EE-2010 Question Paper With Solutions Gate EE-2010 Question Paper With Solutions Gate EE-2010 Question Paper With Solutions

Learn More:   Gate EC-2015 - 3 Question Paper With Solutions

LEAVE A REPLY

Please enter your comment!
Please enter your name here