Gate EE-2010 Question Paper With Solutions

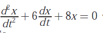
Q. 29 For the differential equationGate EE-2010 Question Paper With Solutionswith initial conditions x(0) = 1
and Gate EE-2010 Question Paper With Solutions, the solution is

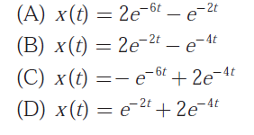
Gate EE-2010 Question Paper With Solutions

Answer:(B)

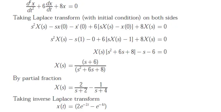
Explanation:

Gate EE-2010 Question Paper With Solutions

Learn More:   Gate CS-2014-1 Question Paper With Solutions

LEAVE A REPLY

Please enter your comment!
Please enter your name here