Gate EE-2010 Question Paper With Solutions

Q. 3 The period of the signal Gate EE-2010 Question Paper With Solutionsis
Gate EE-2010 Question Paper With Solutions

Answer:(D)

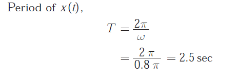
Explanation:

Gate EE-2010 Question Paper With Solutions

Learn More:   Gate EE-2016-1 Question Paper With Solutions

LEAVE A REPLY

Please enter your comment!
Please enter your name here