Gate EC-2016 – 1 Question Paper With Solutions

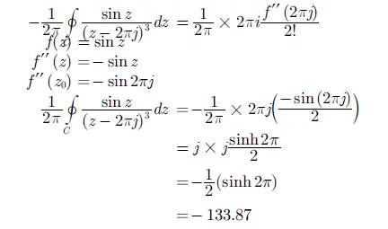
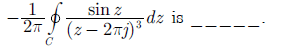
Q.38 In the following integral, the contour C encloses the pointsGate EC-2016 - 1 Question Paper With Solutions . The value of the integral
Gate EC-2016 - 1 Question Paper With Solutions

Answer: (–133.8)

Explanation:
Gate EC-2016 - 1 Question Paper With Solutions

Learn More:   Gate EE-2017-2 Question Paper With Solutions

LEAVE A REPLY

Please enter your comment!
Please enter your name here