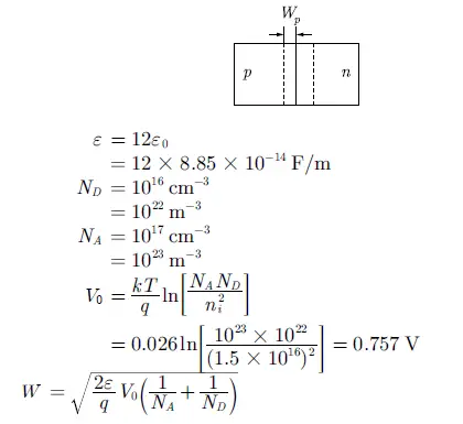
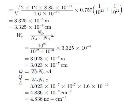
Q46 Consider a silicon p-n junction with a uniform acceptor doping concentration of on the p-side and a uniform donor doping concentration of
on the n-side. No external voltage is applied to the diode. Given: kT/q = 26 mV,
. The charge per unit junction area
in the depletion region on the p-side is _____.
Answer: (4.836)
Explanation:













