Gate EC-2016 – 1 Question Paper With Solutions

Q.27 The output of the combinational circuit given below is

Gate EC-2016 - 1 Question Paper With Solutions

(A) A + B + C

(B) A(B + C)

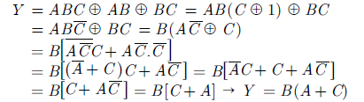
(C) B(C + A)

(D) C(A + B)

Answer: (C)

Explanation:
Gate EC-2016 - 1 Question Paper With Solutions

Learn More:   Gate ME-2020-1 Question Paper With Solutions

LEAVE A REPLY

Please enter your comment!
Please enter your name here