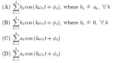
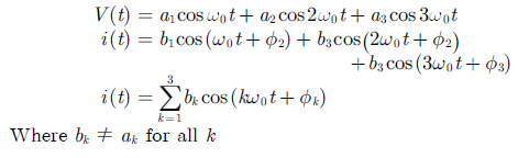
Q.41 A network consisting of a finite number of linear resistor (R), inductor (L), and capacitor (C) elements, connected all in series or all in parallel, is excited with a source of the form 
. The source has nonzero impedance. Which one of the following is a possible form of the output measured across a resistor in the network?
Answer: (A)
Explanation:














