Gate EC-2016 – 1 Question Paper With Solutions

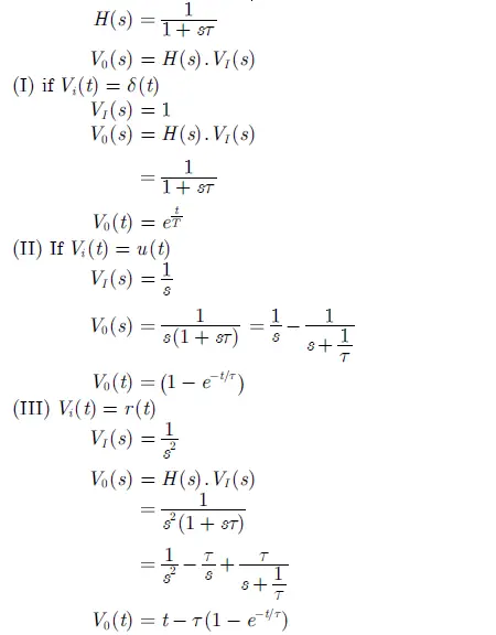
Q.42 A first-order low-pass filter of time constant T is excited with different input signals (with zero initial conditions up to t = 0). Match the excitation signals X, Y , Z with the corresponding time responses for Gate EC-2016 - 1 Question Paper With Solutions
Gate EC-2016 - 1 Question Paper With Solutions

Gate EC-2016 - 1 Question Paper With Solutions

Answer: (C)

Explanation:
Gate EC-2016 - 1 Question Paper With Solutions

Learn More:   Gate EC-2014 - 1 Question Paper With Solutions

LEAVE A REPLY

Please enter your comment!
Please enter your name here