Gate EC-2016 – 1 Question Paper With Solutions

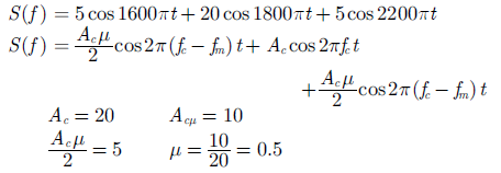
Q.33 The amplitude of a sinusoidal carrier is modulated by a single sinusoid to obtain the amplitude modulated signal Gate EC-2016 - 1 Question Paper With Solutions. The value of the modulation index is _____.

Answer:( μ = 0.5)

Explanation:
Gate EC-2016 - 1 Question Paper With Solutions

Learn More:   Gate ME 2014-4 Question Paper With Solutions

LEAVE A REPLY

Please enter your comment!
Please enter your name here