Gate EC-2016 – 1 Question Paper With Solutions

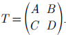
Q.19 Consider a two-port network with the transmission
matrix: Gate EC-2016 - 1 Question Paper With Solutions If the network is reciprocal, then

Gate EC-2016 - 1 Question Paper With Solutions

Answer: (D)

Explanation:

Gate EC-2016 - 1 Question Paper With Solutions

Learn More:   Gate EE-2014-3 Question Paper With Solutions

LEAVE A REPLY

Please enter your comment!
Please enter your name here