Gate EC-2016 – 1 Question Paper With Solutions

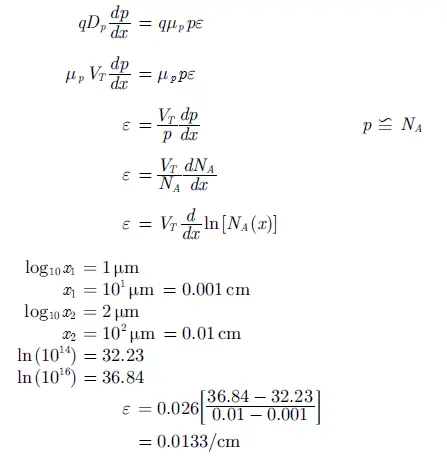
Q.48 The figure below shows the doping distribution in a P-type semiconductor in log scale.

Gate EC-2016 - 1 Question Paper With Solutions
The magnitude of the electric field (in kV/cm) in the semiconductor due to non uniform doping is _____.

Answer: (0.013)

Explanation:
Gate EC-2016 - 1 Question Paper With Solutions
Gate EC-2016 - 1 Question Paper With Solutions

Learn More:   Gate ME 2014-3 Question Paper With Solutions

LEAVE A REPLY

Please enter your comment!
Please enter your name here