Gate EC-2016 – 1 Question Paper With Solutions

Q.44 In the circuit shown in the figure, the maximum power (in watt) delivered to the resistor R is

Gate EC-2016 - 1 Question Paper With Solutions

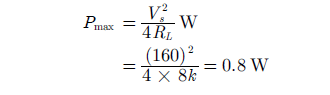
Answer: (0.8)

Explanation:
Gate EC-2016 - 1 Question Paper With Solutions
Gate EC-2016 - 1 Question Paper With Solutions

Learn More:   Gate ME-2020-2 Question Paper With Solutions

LEAVE A REPLY

Please enter your comment!
Please enter your name here