Gate EC-2016 – 1 Question Paper With Solutions

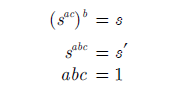
Q.9 If Gate EC-2016 - 1 Question Paper With Solutions and Gate EC-2016 - 1 Question Paper With Solutions andGate EC-2016 - 1 Question Paper With Solutions , the value of abc is _____.

Gate EC-2016 - 1 Question Paper With Solutions

Answer: (C)

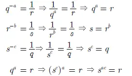
Explanation:
Gate EC-2016 - 1 Question Paper With Solutions
Gate EC-2016 - 1 Question Paper With Solutions

Learn More:   Gate ME-2016-2 Question Paper With Solutions

LEAVE A REPLY

Please enter your comment!
Please enter your name here