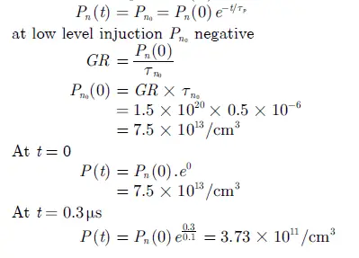
Q49 Consider a silicon sample at T = 300 K, with a uniform donor density illuminated uniformly such that the optical generation rate is
through out the sample. The incident radiation is turned off at t = 0. Assume low-level injection to be valid and ignore surface effects. The carrier lifetimes are
The hole concentration at t = 0 and the hole concentration at t = 0.3 μs , respectively, are
Answer: (C)
Explanation:














