Gate EC-2016 – 1 Question Paper With Solutions

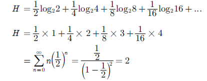
Q.58 Consider a discrete memory less source with alphabetGate EC-2016 - 1 Question Paper With Solutions and respective probabilities of occurrence Gate EC-2016 - 1 Question Paper With SolutionsThe entropy of the source (in bits) is _____.

Answer: (2)

Explanation:
Gate EC-2016 - 1 Question Paper With Solutions

Learn More:   Gate EC-2016 - 3 Question Paper With Solutions

LEAVE A REPLY

Please enter your comment!
Please enter your name here