Gate EC-2012 Question Paper With Solutions

Q. 55 The phase of the above lead compensator is maximum at
Gate EC-2012 Question Paper With Solutions

Answer: A

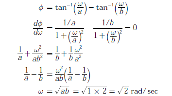
Explanation:
Gate EC-2012 Question Paper With Solutions

Learn More:   Gate EE-2015-1 Question Paper With Solutions

LEAVE A REPLY

Please enter your comment!
Please enter your name here