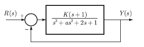
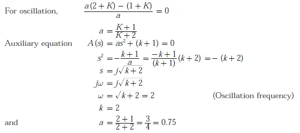
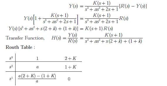
Q. 30 The feedback system shown below oscillates at 2 rad/s when
(A) K = 2 and a = 0.75
(B) K = 3 and a = 0.75
(C) K = 4 and a = 0.5
(D) K = 2 and a = 0.5
Answer: A
Explanation:

Q. 30 The feedback system shown below oscillates at 2 rad/s when
(A) K = 2 and a = 0.75
(B) K = 3 and a = 0.75
(C) K = 4 and a = 0.5
(D) K = 2 and a = 0.5
Answer: A
Explanation:
