Gate EC-2012 Question Paper With Solutions

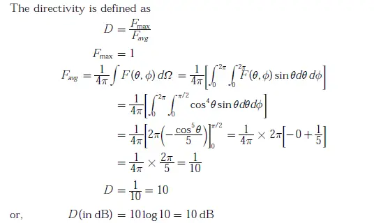
Q. 17 The radiation pattern of an antenna in spherical co-ordinates is given byGate EC-2012 Question Paper With Solutions Gate EC-2012 Question Paper With Solutions. The directivity of the antenna is

(A) 10 dB

(B) 12.6 dB

(C) 11.5 dB

(D) 18 dB

Answer: A

Explanation:
Gate EC-2012 Question Paper With Solutions

Learn More:   Gate EE-2016-2 Question Paper With Solutions

LEAVE A REPLY

Please enter your comment!
Please enter your name here