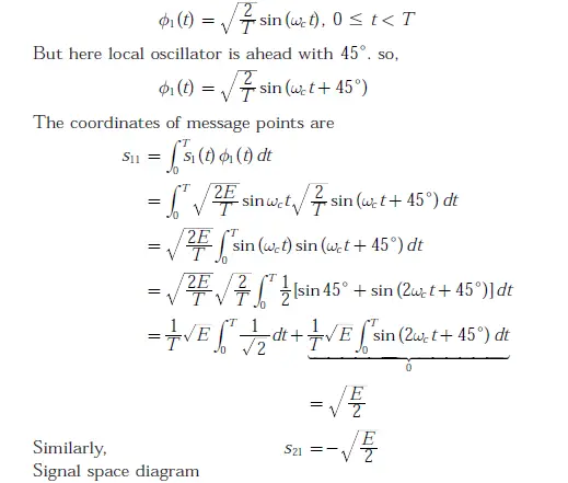
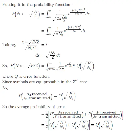
Q. 27 A BPSK scheme operating over an AWGN channel with noise power
spectral density of uses equiprobable signals
and
over the symbol interval (0,T). If the local oscillator in a coherent receiver is ahead in phase by
with respect to the received signal, the probability of error in the resulting system is
Answer: B
Explanation:

















