Gate EC-2012 Question Paper With Solutions

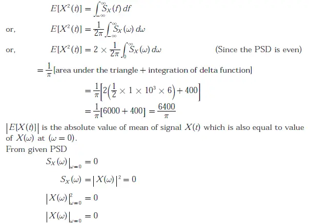
Q. 2 The power spectral density of a real process X(t) for positive frequencies is shown below. The values of Gate EC-2012 Question Paper With Solutions, respectively, are

Gate EC-2012 Question Paper With Solutions
Gate EC-2012 Question Paper With Solutions

Answer:

Explanation:
Gate EC-2012 Question Paper With SolutionsGate EC-2012 Question Paper With Solutions

Learn More:   Gate EE-2017-1 Question Paper With Solutions

LEAVE A REPLY

Please enter your comment!
Please enter your name here