Gate EC-2012 Question Paper With Solutions

Q. 34 Consider the differential equation
Gate EC-2012 Question Paper With Solutions
The numerical value of Gate EC-2012 Question Paper With Solutions

(A) -2

(B) -1

(C) 0

(D) 1

Answer: D

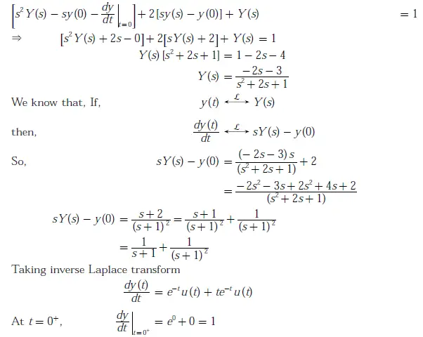
Explanation:
Gate EC-2012 Question Paper With SolutionsGate EC-2012 Question Paper With Solutions

Learn More:   Gate ME-2013 Question Paper With Solutions

LEAVE A REPLY

Please enter your comment!
Please enter your name here