Gate EC-2012 Question Paper With Solutions

Q. 41 The circuit shown is a

Gate EC-2012 Question Paper With Solutions
Gate EC-2012 Question Paper With Solutions

Answer: B

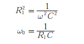
Explanation:

Gate EC-2012 Question Paper With SolutionsGate EC-2012 Question Paper With Solutions Gate EC-2012 Question Paper With Solutions

Gate EC-2012 Question Paper With Solutions

Learn More:   Gate ME 2014-4 Question Paper With Solutions

LEAVE A REPLY

Please enter your comment!
Please enter your name here