Gate EC-2012 Question Paper With Solutions

Q. 18 If Gate EC-2012 Question Paper With Solutions, then the region of convergence (ROC) of its z -transform in the z -plane will be
Gate EC-2012 Question Paper With Solutions

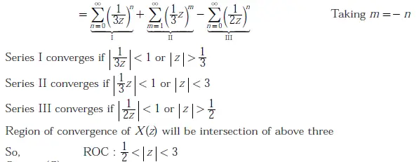
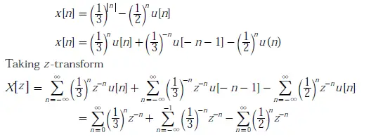
Answer: C

Explanation:
Gate EC-2012 Question Paper With Solutions Gate EC-2012 Question Paper With Solutions

Learn More:   Gate EC-2015 - 2 Question Paper With Solutions

LEAVE A REPLY

Please enter your comment!
Please enter your name here