Gate EC-2012 Question Paper With Solutions

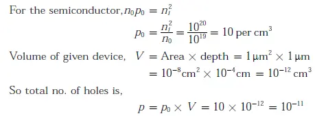
Q. 26 The source of a silicon Gate EC-2012 Question Paper With Solutionsn-channel MOS transistor has an area of Gate EC-2012 Question Paper With Solutions. If the dopant density in the source is Gate EC-2012 Question Paper With Solutions the number of holes in the source region with the above volume is approximately

(A) 107

(B) 100

(C) 10

(D) 0

Answer: D

Explanation:
Gate EC-2012 Question Paper With SolutionsGate EC-2012 Question Paper With Solutions

Learn More:   Gate ME-2020-1 Question Paper With Solutions

LEAVE A REPLY

Please enter your comment!
Please enter your name here