Gate EC-2012 Question Paper With Solutions

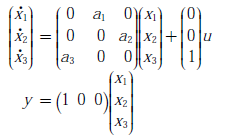
Q. 32 The state variable description of an LTI system is given by
Gate EC-2012 Question Paper With Solutionswhere y is the output and u is the input. The system is controllable for
Gate EC-2012 Question Paper With Solutions

Answer: D

Explanation:
Gate EC-2012 Question Paper With SolutionsGate EC-2012 Question Paper With Solutions

Learn More:   Gate EE-2017-1 Question Paper With Solutions

LEAVE A REPLY

Please enter your comment!
Please enter your name here