Gate EC-2012 Question Paper With Solutions

Q. 52 Gate EC-2012 Question Paper With Solutions

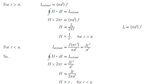
The magnetic field at a distance r from the center of the wire is proportional to
Gate EC-2012 Question Paper With Solutions

Answer:

Explanation:

Gate EC-2012 Question Paper With Solutions

Learn More:   Gate EE-2008 Question Paper With Solutions

LEAVE A REPLY

Please enter your comment!
Please enter your name here