Gate EC-2012 Question Paper With Solutions

Q. 42 Let y[n] denote the convolution of h[n] and g[n], where Gate EC-2012 Question Paper With Solutions and g[n] is a causal sequence. If y[0] = 1 and y[1] = 1/2, then g[1] equals

(A) 0

(B) 1/2

(C) 1

(D) 3/2

Answer: A

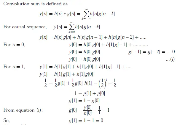
Explanation:
Gate EC-2012 Question Paper With Solutions

Learn More:   Gate ME-2017-2 Question Paper With Solutions

LEAVE A REPLY

Please enter your comment!
Please enter your name here