Gate EC-2012 Question Paper With Solutions

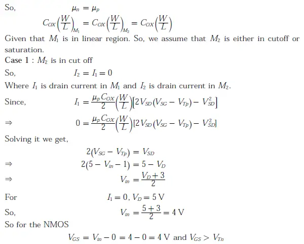
Q. 37 In the CMOS circuit shown, electron and hole mobilities are equal, and Gate EC-2012 Question Paper With Solutions and Gate EC-2012 Question Paper With Solutions are equally sized. The device Gate EC-2012 Question Paper With Solutions is in the linear region if

Gate EC-2012 Question Paper With Solutions
Gate EC-2012 Question Paper With Solutions

Answer: A

Explanation:Gate EC-2012 Question Paper With Solutions

Gate EC-2012 Question Paper With Solutions

Gate EC-2012 Question Paper With Solutions

Learn More:   Gate EC-2007 Question Paper With Solutions

LEAVE A REPLY

Please enter your comment!
Please enter your name here